医療従事者の為の最新医療ニュースや様々な情報・ツールを提供する医療総合サイト

ラニラピッド錠0.05mg

強心配糖体製剤

1錠 6.1円

添付文書番号

2113005F2028_1_02

企業コード

450045

作成又は改訂年月

2024年4月改訂
(第2版、0.1mg錠販売中止に伴う改訂)

日本標準商品分類番号

872113

薬効分類名

強心配糖体製剤

承認等

販売名

ラニラピッド錠0.05mg

販売名コード

2113005F2028

販売名英字表記

LANIRAPID Tablets

販売名ひらがな

らにらぴっどじょう0.05mg

承認番号等

承認番号
21000AMZ00262

販売開始年月

1999年10月

貯法、有効期間

貯法
室温保存
有効期間
3年

規制区分

劇薬
処方箋医薬品 注1)
注1)注意―医師等の処方箋により使用すること

一般的名称

メチルジゴキシン

禁忌(次の患者には投与しないこと)

  1. 房室ブロック、洞房ブロックのある患者[刺激伝導系を抑制し、これらを悪化させることがある。]
  2. ジギタリス中毒の患者[中毒症状が悪化する。]
  3. 閉塞性心筋疾患(特発性肥大性大動脈弁下狭窄等)のある患者[心筋収縮力を増強し、左室流出路の閉塞を悪化させることがある。]
  4. 本剤の成分又はジギタリス剤に対し過敏症の既往歴のある患者

組成・性状

組成

ラニラピッド錠0.05mg
有効成分
1錠中
日局メチルジゴキシン  0.05mg
添加剤
乳糖水和物、トウモロコシデンプン、ヒドロキシプロピルセルロース、ステアリン酸マグネシウム、タルク

製剤の性状

ラニラピッド錠0.05mg
剤形素錠(割線入)
色調白色
外形
表面
裏面
側面
質量0.09g
識別コードBM205
直径
長径8.0mm短径4.5mm
厚さ
2.2mm

効能又は効果

  • 次の疾患に基づくうっ血性心不全
先天性心疾患、弁膜疾患、高血圧症、虚血性心疾患(心筋梗塞、狭心症など)
  • 心房細動・粗動による頻脈、発作性上室性頻拍

用法及び用量

  • 急速飽和療法(飽和量:0.6~1.8mg)
    初回0.2~0.3mg(4~6錠)、以後、1回0.2mg(4錠)を1日3回経口投与し、十分効果のあらわれるまで続ける。
    なお、比較的急速飽和療法、緩徐飽和療法を行うことができる。
  • 維持療法
    1日0.1~0.2mg(2~4錠)を経口投与する。

用法及び用量に関連する注意

飽和療法は過量になりやすいので、緊急を要さない患者には治療開始初期から維持療法による投与も考慮すること。

重要な基本的注意

  1. 本剤を投与する場合には観察を十分に行い、過去2~3週間以内にジギタリス剤又はその他の強心配糖体が投与されているか否かを確認したのち、慎重に投与量を決定すること。
  2. 本剤の至適投与量は患者により個人差があるので、少量から投与を開始し、観察を十分に行い投与量を調節すること。
  3. ジギタリス中毒の症状(悪心・嘔吐、不整脈等)があらわれることがあるので、消化器・神経系自覚症状、心電図、血中濃度測定等必要に応じ観察するとともに腎機能、血清電解質(カリウム、マグネシウム、カルシウム)、甲状腺機能等の誘因に注意すること。
  4. 本剤は種々の薬剤との相互作用が報告されているが、可能性のあるすべての組み合わせについて検討されているわけではないので、他剤と併用したり、本剤又は他剤を休薬する場合はメチルジゴキシン及びジゴキシン合計の血中濃度の推移、自覚症状、心電図等に注意し、慎重に投与すること。

特定の背景を有する患者に関する注意

合併症・既往歴等のある患者

  1. 急性心筋梗塞のある患者
    心筋収縮力増強により心筋虚血を悪化させるおそれがある。
  2. 心室性期外収縮のある患者
    中毒が発現した場合、鑑別ができないおそれがある。
  3. 心膜炎、肺性心のある患者
    少量で中毒を起こすおそれがある。
  4. WPW症候群のある患者
    副伝導路の伝導速度を速め、不整脈が悪化するおそれがある。
  5. 電解質異常(低カリウム血症、高カルシウム血症、低マグネシウム血症等)のある患者
    少量で中毒を起こすおそれがある。
  6. 甲状腺機能低下症のある患者
    メチルジゴキシン及びジゴキシン合計の血中濃度が高くなり、作用が増強し、中毒を起こすおそれがある。
  7. 甲状腺機能亢進症のある患者
    メチルジゴキシン及びジゴキシン合計の血中濃度が低くなり、作用が減弱し、大量投与を要することがある。

腎機能障害患者

  1. 腎疾患のある患者
    メチルジゴキシン及びジゴキシンの排泄が遅延し、中毒を起こすおそれがある。
  2. 血液透析を受けている患者
    メチルジゴキシン及びジゴキシンの排泄が遅延する。また、透析により、血清カリウム値が低下する可能性があるため、中毒を起こすおそれがある。

妊婦

妊婦又は妊娠している可能性のある女性には、治療上の有益性が危険性を上回ると判断される場合にのみ投与すること。

授乳婦

治療上の有益性及び母乳栄養の有益性を考慮し、授乳の継続又は中止を検討すること。

小児等

少量から投与を開始し、血中濃度や心電図等を監視するなど、観察を十分に行い、慎重に投与すること。ジギタリス中毒があらわれやすい。

高齢者

少量から投与を開始し、血中濃度等を監視するなど、観察を十分に行い、慎重に投与すること。ジギタリス中毒があらわれやすい。

相互作用

メチルジゴキシン及びジゴキシンはP糖蛋白質の基質であるため、メチルジゴキシン及びジゴキシン合計の血中濃度はP糖蛋白質に影響を及ぼす薬剤により影響を受けると考えられる。

併用注意(併用に注意すること)

薬剤名等臨床症状・措置方法機序・危険因子
カルシウム(注射剤)(カルシウム値の補正に用いる場合を除く)
グルコン酸カルシウム水和物
塩化カルシウム水和物
静注により急激に血中カルシウム濃度が上昇するとジゴキシンの毒性が急激に出現することがある。治療上やむを得ないと判断される場合を除き、投与しないこと。急激にカルシウム濃度を上昇させるような使用法は避けること。
本剤の催不整脈作用は心筋細胞内カルシウム濃度に依存すると考えられている。
スキサメトニウム塩化物水和物
併用により重篤な不整脈を起こすおそれがある。治療上やむを得ないと判断される場合を除き、投与しないこと。
スキサメトニウム塩化物水和物の血中カリウム増加作用又はカテコールアミン放出が原因と考えられている。
カルシウム(経口剤)
カルシウム含有製剤
高カロリー輸液 等
本剤の作用を増強することがある。
ジギタリス中毒の症状(悪心・嘔吐、不整脈等)があらわれることがある。
これらの薬剤により血中カルシウム値が上昇するためと考えられている。
解熱・鎮痛・消炎剤
インドメタシン
ジクロフェナクナトリウム 等
本剤の作用を増強することがある。
ジギタリス中毒の症状(悪心・嘔吐、不整脈等)があらわれることがある。
メチルジゴキシン及びジゴキシンの腎排泄が抑制され、血中濃度が上昇するとの報告がある。
トラゾドン塩酸塩
本剤の作用を増強することがある。
ジギタリス中毒の症状(悪心・嘔吐、不整脈等)があらわれることがある。
機序は不明であるが、メチルジゴキシン及びジゴキシン合計の血中濃度が上昇するとの報告がある。
抗コリン剤
アトロピン系薬剤
プロパンテリン 等
本剤の作用を増強することがある。
ジギタリス中毒の症状(悪心・嘔吐、不整脈等)があらわれることがある。
腸管運動を抑制し滞留時間が延長されるため、メチルジゴキシンの吸収が増大し、メチルジゴキシン及びジゴキシン合計の血中濃度が上昇するとの報告がある。
不整脈用剤
アミオダロン塩酸塩
キニジン硫酸塩水和物
ピルメノール塩酸塩水和物
フレカイニド酢酸塩
ピルシカイニド塩酸塩水和物
プロパフェノン塩酸塩
ベプリジル塩酸塩水和物 等
本剤の作用を増強することがある。
ジギタリス中毒の症状(悪心・嘔吐、不整脈等)があらわれることがある。
機序不明なものも含まれるが、メチルジゴキシン及びジゴキシンの腎排泄が抑制されることによる血中濃度上昇、あるいは、薬力学的相互作用による刺激伝導抑制等があらわれることがある。
β-遮断剤
プロプラノロール塩酸塩
アテノロール
カルベジロール 等
本剤の作用を増強することがある。
ジギタリス中毒の症状(悪心・嘔吐、不整脈等)があらわれることがある。
薬力学的相互作用により、伝導抑制の増強、徐脈の誘発があらわれることがある。また、カルベジロールではメチルジゴキシン及びジゴキシン合計の血中濃度が上昇したとの報告がある。
利尿剤
カリウム排泄型利尿剤
チアジド系利尿剤
フロセミド 等
アセタゾラミド
本剤の作用を増強することがある。
ジギタリス中毒の症状(悪心・嘔吐、不整脈等)があらわれることがある。
過度の利尿により、血中カリウム値が低下しやすくなるとの報告がある。
利尿剤
スピロノラクトン
本剤の作用を増強することがある。
ジギタリス中毒の症状(悪心・嘔吐、不整脈等)があらわれることがある。
メチルジゴキシン及びジゴキシンの腎排泄が抑制され、血中濃度が上昇するとの報告がある。
利尿剤
トルバプタン
本剤の作用を増強することがある。
ジギタリス中毒の症状(悪心・嘔吐、不整脈等)があらわれることがある。
P糖蛋白質を介したメチルジゴキシン及びジゴキシンの排泄の抑制により、血中濃度が上昇するとの報告がある。
血圧降下剤
レセルピン系薬剤
本剤の作用を増強することがある。
ジギタリス中毒の症状(悪心・嘔吐、不整脈等)があらわれることがある。
薬力学的相互作用により、伝導抑制の増強、徐脈の誘発があらわれることがある。
アンジオテンシンⅡ受容体拮抗剤
テルミサルタン
本剤の作用を増強することがある。
ジギタリス中毒の症状(悪心・嘔吐、不整脈等)があらわれることがある。
機序は不明であるが、メチルジゴキシン及びジゴキシン合計の血中濃度が上昇するとの報告がある。
カルシウム拮抗剤
ベラパミル塩酸塩
ジルチアゼム塩酸塩
ニフェジピン 等
本剤の作用を増強することがある。
ジギタリス中毒の症状(悪心・嘔吐、不整脈等)があらわれることがある。
メチルジゴキシン及びジゴキシンの腎排泄が抑制され、血中濃度が上昇するとの報告がある。
HMG-CoA還元酵素阻害剤
フルバスタチンナトリウム
本剤の作用を増強することがある。
ジギタリス中毒の症状(悪心・嘔吐、不整脈等)があらわれることがある。
機序は不明であるが、メチルジゴキシン及びジゴキシン合計の最高血中濃度の上昇が認められたとの報告がある。
HMG-CoA還元酵素阻害剤
アトルバスタチンカルシウム水和物
本剤の作用を増強することがある。
ジギタリス中毒の症状(悪心・嘔吐、不整脈等)があらわれることがある。
P糖蛋白質を介したメチルジゴキシン及びジゴキシンの排泄の抑制により血中濃度の上昇が示唆されている。
ポリスチレンスルホン酸塩
本剤の作用を増強することがある。
ジギタリス中毒の症状(悪心・嘔吐、不整脈等)があらわれることがある。
腸内のカリウムイオンとのイオン交換により、血中カリウム値が低下するとの報告がある。
交感神経刺激剤
アドレナリン
イソプレナリン塩酸塩 等
本剤の作用を増強することがある。
ジギタリス中毒の症状(悪心・嘔吐、不整脈等)があらわれることがある。
薬力学的相互作用により不整脈があらわれることがある。
プロトンポンプ阻害剤
オメプラゾール
ラベプラゾールナトリウム 等
本剤の作用を増強することがある。
ジギタリス中毒の症状(悪心・嘔吐、不整脈等)があらわれることがある。
胃酸分泌抑制作用によりメチルジゴキシンの加水分解が抑制され、メチルジゴキシン及びジゴキシン合計の血中濃度が上昇するとの報告がある。
副腎皮質ホルモン剤
本剤の作用を増強することがある。
ジギタリス中毒の症状(悪心・嘔吐、不整脈等)があらわれることがある。
副腎皮質ホルモンにより低カリウム血症が起こるためと考えられている。
ビタミンD製剤
カルシトリオール 等
本剤の作用を増強することがある。
ジギタリス中毒の症状(悪心・嘔吐、不整脈等)があらわれることがある。
ビタミンD製剤により血中カルシウム値が上昇するためと考えられている。
習慣性中毒用剤
ジスルフィラム
本剤の作用を増強することがある。
ジギタリス中毒の症状(悪心・嘔吐、不整脈等)があらわれることがある。
ジスルフィラム-アルコール反応時に過呼吸により血中カリウム値が低下したとの報告がある。
シクロスポリン
本剤の作用を増強することがある。
ジギタリス中毒の症状(悪心・嘔吐、不整脈等)があらわれることがある。
メチルジゴキシン及びジゴキシンの腎排泄が抑制され、血中濃度が上昇するとの報告がある。
抗生物質製剤
エリスロマイシン
クラリスロマイシン
ガチフロキサシン水和物
テトラサイクリン塩酸塩
本剤の作用を増強することがある。
ジギタリス中毒の症状(悪心・嘔吐、不整脈等)があらわれることがある。
腸内細菌叢への影響によるメチルジゴキシンの代謝の抑制、あるいは、P糖蛋白質を介したメチルジゴキシン及びジゴキシンの排泄の抑制により血中濃度が上昇するとの報告がある。
抗生物質製剤
アジスロマイシン水和物
本剤の作用を増強することがある。
ジギタリス中毒の症状(悪心・嘔吐、不整脈等)があらわれることがある。
機序の詳細は不明であるが、P糖蛋白質を介したメチルジゴキシン及びジゴキシンの輸送が阻害されるとの報告がある。
抗生物質製剤
アムホテリシンB
エンビオマイシン硫酸塩
本剤の作用を増強することがある。
ジギタリス中毒の症状(悪心・嘔吐、不整脈等)があらわれることがある。
これらの薬物により血中カリウム値が低下するためと考えられている。
HIVプロテアーゼ阻害剤
リトナビル
本剤の作用を増強することがある。
ジギタリス中毒の症状(悪心・嘔吐、不整脈等)があらわれることがある。
P糖蛋白質を介したメチルジゴキシン及びジゴキシンの排泄の抑制により、血中濃度が上昇するとの報告がある。
エトラビリン
本剤の作用を増強することがある。
ジギタリス中毒の症状(悪心・嘔吐、不整脈等)があらわれることがある。
P糖蛋白質阻害作用により、メチルジゴキシン及びジゴキシン合計の血中濃度が上昇するとの報告がある。
C型肝炎治療剤
レジパスビル/ソホスブビル配合錠
本剤の作用を増強することがある。
ジギタリス中毒の症状(悪心・嘔吐、不整脈等)があらわれることがある。
レジパスビルのP糖蛋白質阻害作用により、メチルジゴキシン及びジゴキシン合計の血中濃度が上昇するとの報告がある。
化学療法剤
イトラコナゾール
スルファメトキサゾール・トリメトプリム
本剤の作用を増強することがある。
ジギタリス中毒の症状(悪心・嘔吐、不整脈等)があらわれることがある。
メチルジゴキシン及びジゴキシンの腎排泄が抑制され、血中濃度が上昇するとの報告がある。
抗甲状腺剤
チアマゾール
プロピルチオウラシル
本剤の作用を増強することがある。
ジギタリス中毒の症状(悪心・嘔吐、不整脈等)があらわれることがある。
甲状腺機能亢進の改善に伴いクリアランスが正常になるため、メチルジゴキシン及びジゴキシン合計の血中濃度が上昇するとの報告がある。
ベムラフェニブ
本剤の作用を増強することがある。
ジギタリス中毒の症状(悪心・嘔吐、不整脈等)があらわれることがある。
P糖蛋白質阻害作用により、メチルジゴキシン及びジゴキシン合計の血中濃度が上昇するとの報告がある。
カルバマゼピン
本剤の作用を減弱することがあるので、併用する場合にはメチルジゴキシン及びジゴキシン合計の血中濃度をモニターするなど慎重に投与すること。
併用後、メチルジゴキシン及びジゴキシン合計の血中濃度の低下が認められたとの報告がある。
コレスチラミン
コレスチミド
本剤の作用を減弱することがあるので、併用する場合にはメチルジゴキシン及びジゴキシン合計の血中濃度をモニターするなど慎重に投与すること。
消化管内での吸着によりメチルジゴキシンの吸収を阻害し、メチルジゴキシン及びジゴキシン合計の血中濃度が低下すると考えられている。
消化性潰瘍剤
スクラルファート水和物
本剤の作用を減弱することがあるので、併用する場合にはメチルジゴキシン及びジゴキシン合計の血中濃度をモニターするなど慎重に投与すること。
消化管内での吸着によりメチルジゴキシンの吸収を阻害し、メチルジゴキシン及びジゴキシン合計の血中濃度が低下するとの報告がある。
制酸剤
水酸化アルミニウム
水酸化マグネシウム 等
本剤の作用を減弱することがあるので、併用する場合にはメチルジゴキシン及びジゴキシン合計の血中濃度をモニターするなど慎重に投与すること。
消化管内での吸着によりメチルジゴキシンの吸収を阻害し、メチルジゴキシン及びジゴキシン合計の血中濃度が低下するとの報告がある。
抗生物質製剤
フラジオマイシン
本剤の作用を減弱することがあるので、併用する場合にはメチルジゴキシン及びジゴキシン合計の血中濃度をモニターするなど慎重に投与すること。
メチルジゴキシンの吸収が阻害され、メチルジゴキシン及びジゴキシン合計の血中濃度が低下するとの報告がある。
抗生物質製剤
リファンピシン
本剤の作用を減弱することがあるので、併用する場合にはメチルジゴキシン及びジゴキシン合計の血中濃度をモニターするなど慎重に投与すること。
P糖蛋白質、肝薬物代謝酵素の誘導作用により、メチルジゴキシン及びジゴキシン合計の血中濃度が低下するとの報告がある。
サルファ剤
サラゾスルファピリジン
本剤の作用を減弱することがあるので、併用する場合にはメチルジゴキシン及びジゴキシン合計の血中濃度をモニターするなど慎重に投与すること。
メチルジゴキシンの吸収が阻害され、メチルジゴキシン及びジゴキシン合計の血中濃度が低下するとの報告がある。
甲状腺製剤
乾燥甲状腺
レボチロキシンナトリウム水和物
リオチロニンナトリウム
本剤の作用を減弱することがあるので、併用する場合にはメチルジゴキシン及びジゴキシン合計の血中濃度をモニターするなど慎重に投与すること。
甲状腺機能低下の改善に伴いクリアランスが正常になるため、メチルジゴキシン及びジゴキシン合計の血中濃度が低下するとの報告がある。
アカルボース
ミグリトール
本剤の作用を減弱することがあるので、併用する場合にはメチルジゴキシン及びジゴキシン合計の血中濃度をモニターするなど慎重に投与すること。
併用によりメチルジゴキシン及びジゴキシン合計の血中濃度の低下が認められたとの報告がある。
セイヨウオトギリソウ(セント・ジョーンズ・ワート)含有食品
本剤の作用を減弱することがあるので、併用する場合にはメチルジゴキシン及びジゴキシン合計の血中濃度をモニターするなど慎重に投与すること。本剤投与時はセイヨウオトギリソウ含有食品を摂取しないよう注意すること。
メチルジゴキシン及びジゴキシンの排泄が促進され血中濃度が低下するおそれがある。
ブピバカイン塩酸塩水和物
ブピバカイン塩酸塩水和物の副作用を増強したとの報告がある。
薬力学的相互作用によると考えられている。
ヘパリン
ヘパリンの作用を減弱するおそれがある。
抗凝血作用に拮抗すると考えられている。
制吐作用を有する薬剤
スルピリド
メトクロプラミド
ドンペリドン 等
ジギタリス中毒の症状(悪心・嘔吐、食欲不振等)を不顕化するおそれがある。
これらの薬剤の制吐作用のため本剤の中毒症状が判別しにくくなる。

副作用

次の副作用があらわれることがあるので、観察を十分に行い、異常が認められた場合には投与を中止するなど適切な処置を行うこと。

重大な副作用

  1. ジギタリス中毒(頻度不明)
    高度の徐脈、二段脈、多源性心室性期外収縮、発作性心房性頻拍等の不整脈があらわれることがある。また、さらに重篤な房室ブロック、心室性頻拍症あるいは心室細動に移行することがある。
    初期症状として消化器、眼、精神神経系症状があらわれることが多いが、それらの症状に先行して不整脈が出現することもある。
  2. 非閉塞性腸間膜虚血(頻度不明)
    腸管壊死に至った例も報告されているので、激しい腹痛、血便等の症状があらわれた場合には投与を中止し、適切な処置を行うこと。

その他の副作用

0.1%以上
0.1%未満
頻度不明
消化器 注)
悪心・嘔吐(0.8%)、食欲不振(0.6%)、下痢
下腹部不快感、腹部膨満感、腹痛
循環器
不整脈(0.5%)、動悸
頻脈
注)
霧視、羞明
光がないのにちらちらみえる、黄視、緑視、複視
精神神経系 注)
頭痛
めまい
失見当識、錯乱、譫妄
肝臓
AST、ALT、γ-GTP、Al-Pの上昇
血液
血小板数減少
過敏症
発疹
蕁麻疹、紫斑、浮腫
その他
女性型乳房
筋力低下
注)

過量投与

  1. 症状
    ジギタリス中毒が起こることがある。
  2. 処置
    1. 薬物排泄
      胃内のメチルジゴキシンの吸収を防止するために活性炭が有効と報告されている。
    2. 心電図
      直ちに心電図による監視を行い、上記のジギタリス中毒特有の不整脈の発現に注意する。
    3. 重篤な不整脈の治療法
      徐脈性不整脈及びブロックにはアトロピン等が用いられる。
      重篤な頻脈性不整脈が頻発するときは塩化カリウム、リドカイン、プロプラノロール等が用いられる。
    4. 血清電解質
      特に低カリウム血症に注意し、異常があれば補正する。
      高カリウム血症には、炭酸水素ナトリウム、グルコース・インスリン療法、ポリスチレンスルホン酸ナトリウム等が用いられる。
    5. 腎機能
      メチルジゴキシン及びジゴキシンは主として腎から排泄されるので腎機能を正常に保つ。
      血液透析は一般に無効であるとされている。

適用上の注意

薬剤交付時の注意
PTP包装の薬剤はPTPシートから取り出して服用するよう指導すること。PTPシートの誤飲により、硬い鋭角部が食道粘膜へ刺入し、更には穿孔をおこして縦隔洞炎等の重篤な合併症を併発することがある。

薬物動態

血中濃度

健康成人男子各4例にメチルジゴキシン及びジゴキシンとして各0.25mgを単回経口投与後、各投与群におけるメチルジゴキシン及びジゴキシン合計の血中濃度推移をradioimmunoassay法で測定した結果、メチルジゴキシンの吸収は速やかで、血中濃度はジゴキシン投与群の約2倍の高値を示した。
図 メチルジゴキシン及びジゴキシン単回投与後のメチルジゴキシン及びジゴキシン合計の血中濃度
Tmax(h)
Cmax(ng/mL)
メチルジゴキシン
1
1.11
ジゴキシン
2
0.58
また、メチルジゴキシン0.1mg/日で維持療法中の患者(16例、23回)とジゴキシン0.25mg/日で維持療法中の患者(25例、33回)のメチルジゴキシン及びジゴキシン合計の血中濃度を比較した。メチルジゴキシン0.1mg/日維持群では最高2.0ng/mL、最低0.3ng/mL、平均1.20±0.11ng/mLであり、ジゴキシン0.25mg/日維持群では、最高2.5ng/mL、最低0.5ng/mL、平均1.38±0.12ng/mLであった。

吸収

心肺疾患のない成人各5例に12α-3H-methyldigoxin 0.2mgを単回経口投与及び単回静脈内投与後、7日目までの尿、糞中排泄量を測定した結果、経口投与時と静脈内投与時の排泄パターンがほとんど一致したことから、腸管からほぼ100%吸収されることが示唆された(外国人データ)。

代謝

メチルジゴキシンは消化管から吸収された後、主として脱メチル化によりジゴキシンに代謝される。その他の代謝物はdigoxigenin、digoxigenin-bis-digitoxiside及びdigoxigenin-mono-digitoxisideである,。主な代謝酵素は肝薬物代謝酵素チトクロームP450(CYP)3Aが考えられている。

排泄

メチルジゴキシン及びジゴキシンは腎排泄を主経路とし、糸球体濾過とP糖蛋白質を介する尿細管分泌により尿中に排泄される,
心肺疾患のない成人各5例に12α-3H-methyldigoxin 0.2mgを単回経口投与及び単回静脈内投与後、7日目までの尿、糞中排泄量を測定した結果、経口投与では7日間に尿中に52.9%、糞中に31.5%が排泄され、静脈内投与では尿中に59.7%、糞中に32.5%が排泄された(外国人データ)。また、健康成人3例に3H-β-methyldigoxin 0.3あるいは0.6mgを単回経口投与した場合、144時間までの蓄積尿中の未変化体は40.6%、ジゴキシンは45.2%であった(外国人データ)。

臨床成績

有効性及び安全性に関する試験

  1. 国内臨床試験
    国内26施設における、うっ血性心不全患者を対象とした二重盲検比較試験の結果、本剤の有用性が認められた,
  2. 国内臨床試験
    国内で報告された一般臨床試験の概要は以下のとおりであった。
    疾患名
    療法
    有効率
    心房細動・粗動による頻脈
    飽和療法
    95.7%(45/47)
    維持療法
    81.7%(201/246)
    発作性上室性頻拍
    維持療法
    75.0%(3/4)
    先天性心疾患
    飽和療法
    100.0%(2/2)
    維持療法
    91.7%(11/12)
    弁膜疾患
    飽和療法
    88.5%(23/26)
    維持療法
    76.8%(116/151)
    高血圧症
    飽和療法
    100.0%(9/9)
    維持療法
    77.1%(54/70)
    虚血性心疾患
    飽和療法
    100.0%(17/17)
    維持療法
    81.9%(59/72)

薬効薬理

作用機序
モルモットの摘出左心房標本において、電気的駆動による心収縮力に対するメチルジゴキシン及びジゴキシンの作用を比較した試験で、両薬物の心収縮力最大増加率及びその時の薬物濃度並びに心停止を起こす濃度は同等であった。また、イヌを用い、血圧、心拍数、心電図、左室内圧及び一次微分(dp/dt)を測定した結果、メチルジゴキシンはmax.dp/dtを著明に増加し、軽度の血圧上昇及び心拍数の減少を起こし、これらの作用はジゴキシンとほぼ同程度であった。また、心室性期外収縮及び心停止発現量はメチルジゴキシンとジゴキシンの間に差はみられなかった。

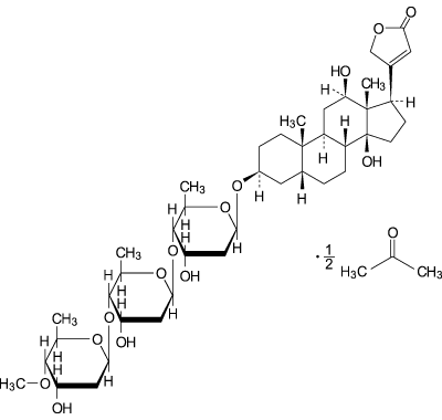
有効成分に関する理化学的知見

一般的名称
メチルジゴキシン(Metildigoxin)(JAN)
化学名
3β-[2,6-Dideoxy-4-O-methyl-β-D-ribo-hexopyranosyl-(1→4)-2,6-dideoxy-β-D-ribo-hexopyranosyl-(1→4)-2,6-dideoxy-β-D-ribo-hexopyranosyloxy]-12β,14-dihydroxy-5β-card-20(22)-enolide―acetone(2/1)
分子式
C42H66O14・1/2 C3H6O
分子量
824.00
性状
白色~淡黄白色の結晶性の粉末である。
N,N-ジメチルホルムアミド、ピリジン又は酢酸(100)に溶けやすく、クロロホルムにやや溶けやすく、メタノールにやや溶けにくく、エタノール(95)又はアセトンに溶けにくく、水に極めて溶けにくい。
結晶多形が認められる。
化学構造式

包装

100錠(PTP10錠×10)

主要文献

1
若松良隆, 他. 基礎と臨床. 1976;10(2):499-506.
2
Rennekamp H, et al. Naunyn-Schmiedebergs Arch Pharmacol. 1972;273(1):172-4.
3
Rietbrock N, et al. Naunyn-Schmiedebergs Arch Pharmacol. 1972;272(4):450-3.
4
中島創, 他. Jpn J Clin Pharmacol Ther. 1989;20(2):441-6.
5
Salphati L, et al. Xenobiotica. 1999; 29(2):171-85.
6
Woodland C, et al. Ther Drug Monit. 1998;20(2):134-8.
7
Tanigawara Y, et al. J Pharmacol Exp Ther. 1992;263(2):840-5.
8
Hinderling PH, et al. J Pharm Sci. 1977;66(3):314-25.
9
遠井勝弘, 他. 基礎と臨床. 1976;10(3):548-57.
10
木村栄一, 他. 心臓. 1978;10(5):475-80.
11
竹中登一, 他. 応用薬理. 1973;7(3):373-9.

文献請求先及び問い合わせ先

中外製薬株式会社 メディカルインフォメーション部
〒103-8324 東京都中央区日本橋室町2-1-1
電話:0120-189706
Fax:0120-189705
https://www.chugai-pharm.co.jp/

製造販売業者等

製造販売元
中外製薬株式会社
東京都中央区日本橋室町2-1-1

先発薬

後発薬

                                                                                                                                                                                                       

MESSAGE

MESSAGE

LABEL